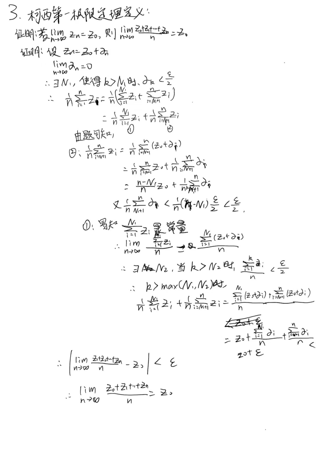
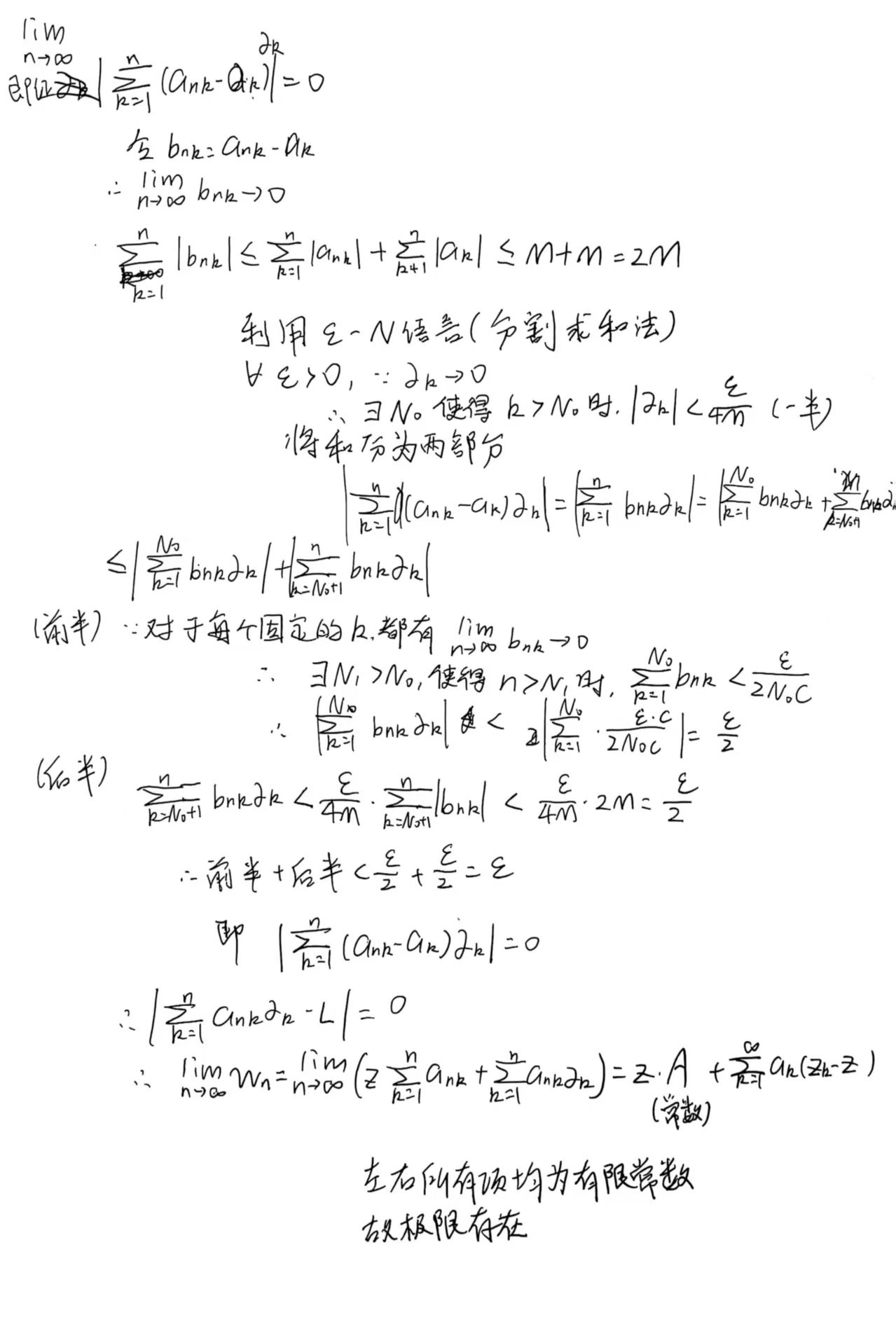
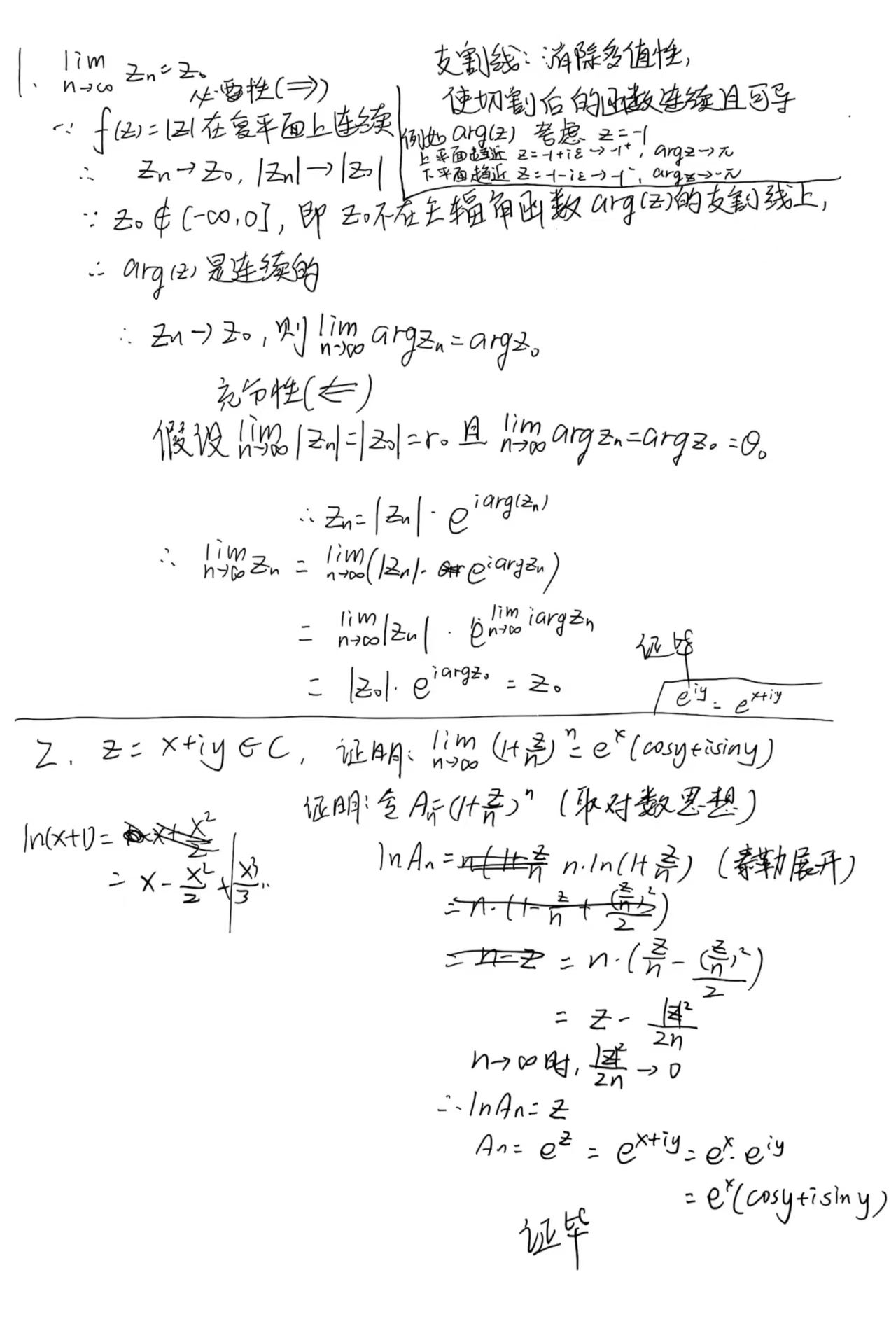
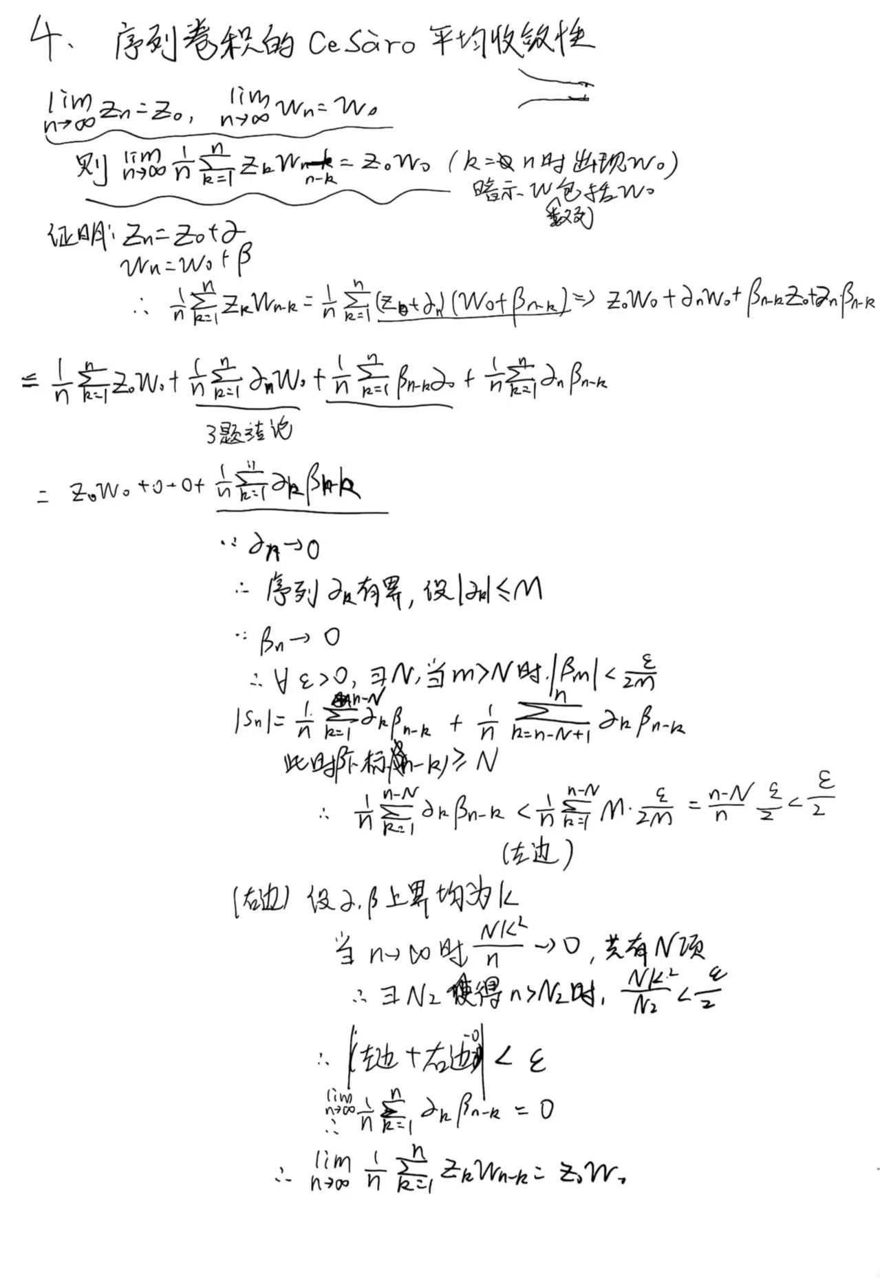
=== 复变函数难题② === >>> 2025-11-27 2025年11月27日22点16分 今天在AI的帮助下写了复变函数习题1.4,我第一个习题完整写完的小节。 留个档,估计这几张纸过不了几天就全丢了。