首页 · Home
日志 · Log
关于 · About
星际观测日志
Coordinates: 22.5° N, 113.9° E // Sector 406
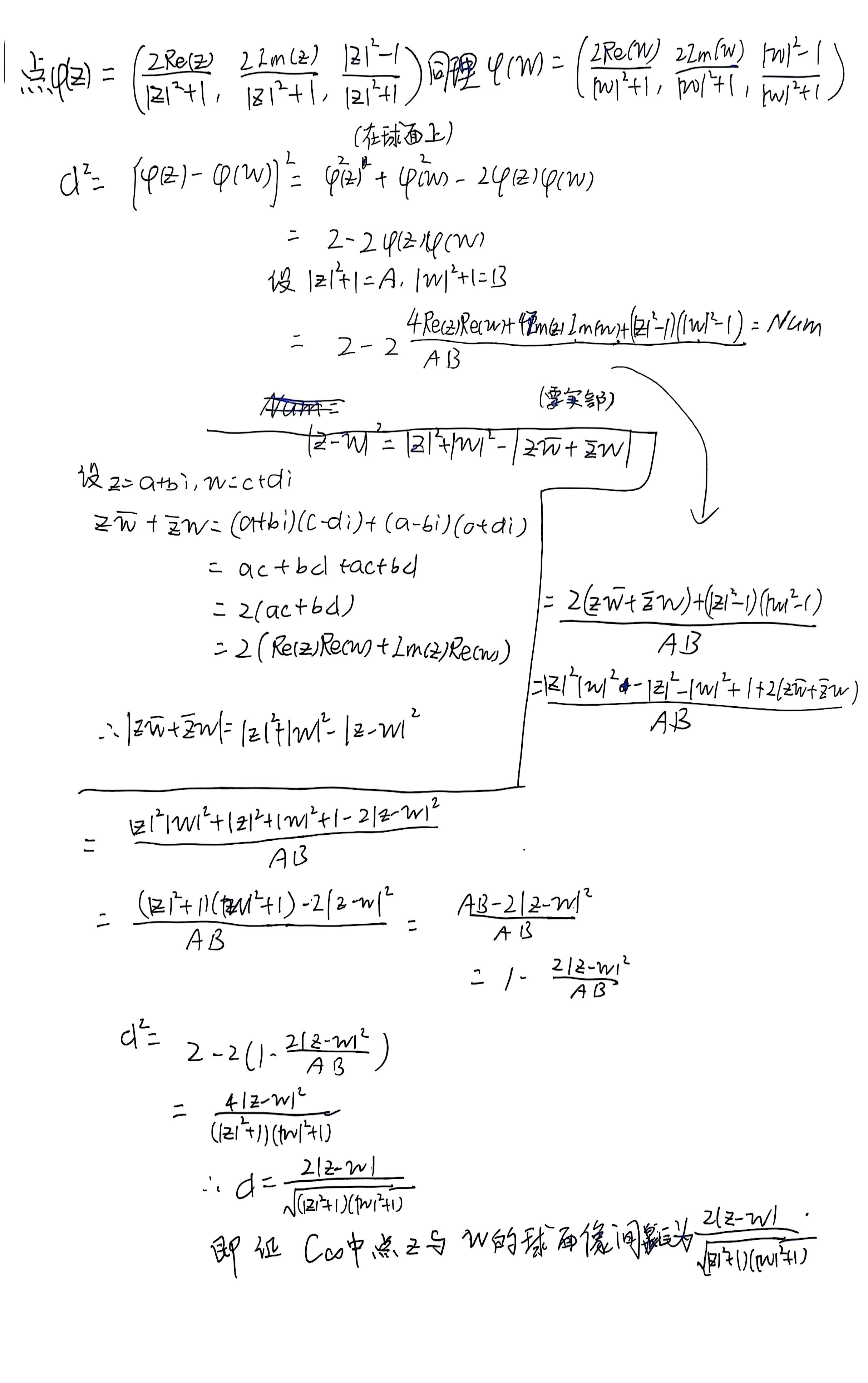
=== 复变函数难题① ===
>>> 2025-11-26
第三题 化简有点巧妙