首页 · Home
日志 · Log
关于 · About
星际观测日志
Coordinates: 22.5° N, 113.9° E // Sector 406
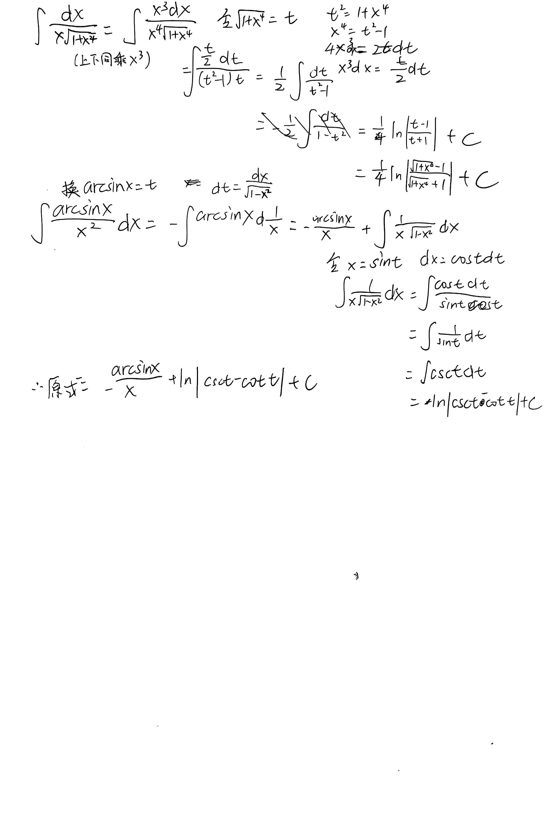
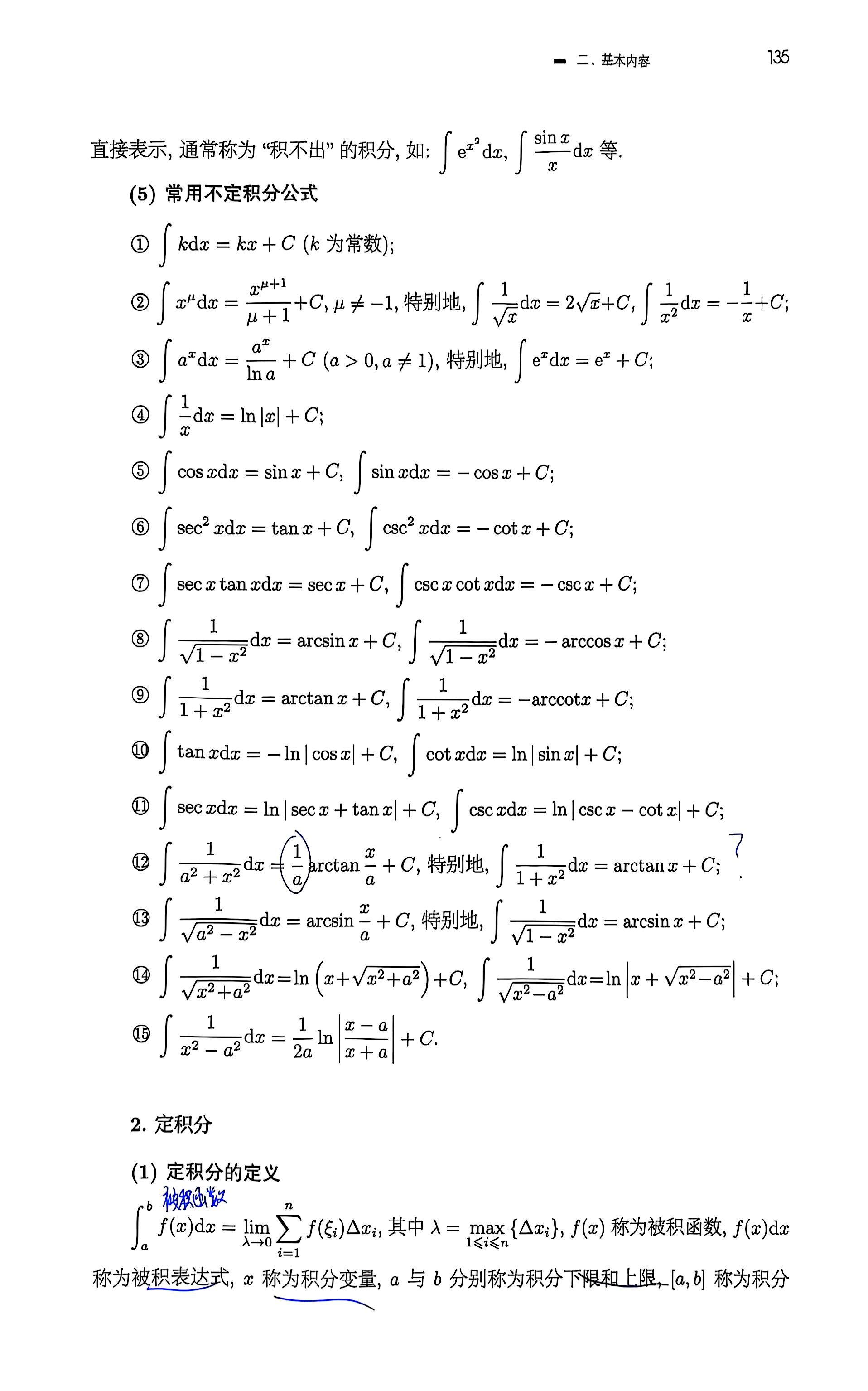
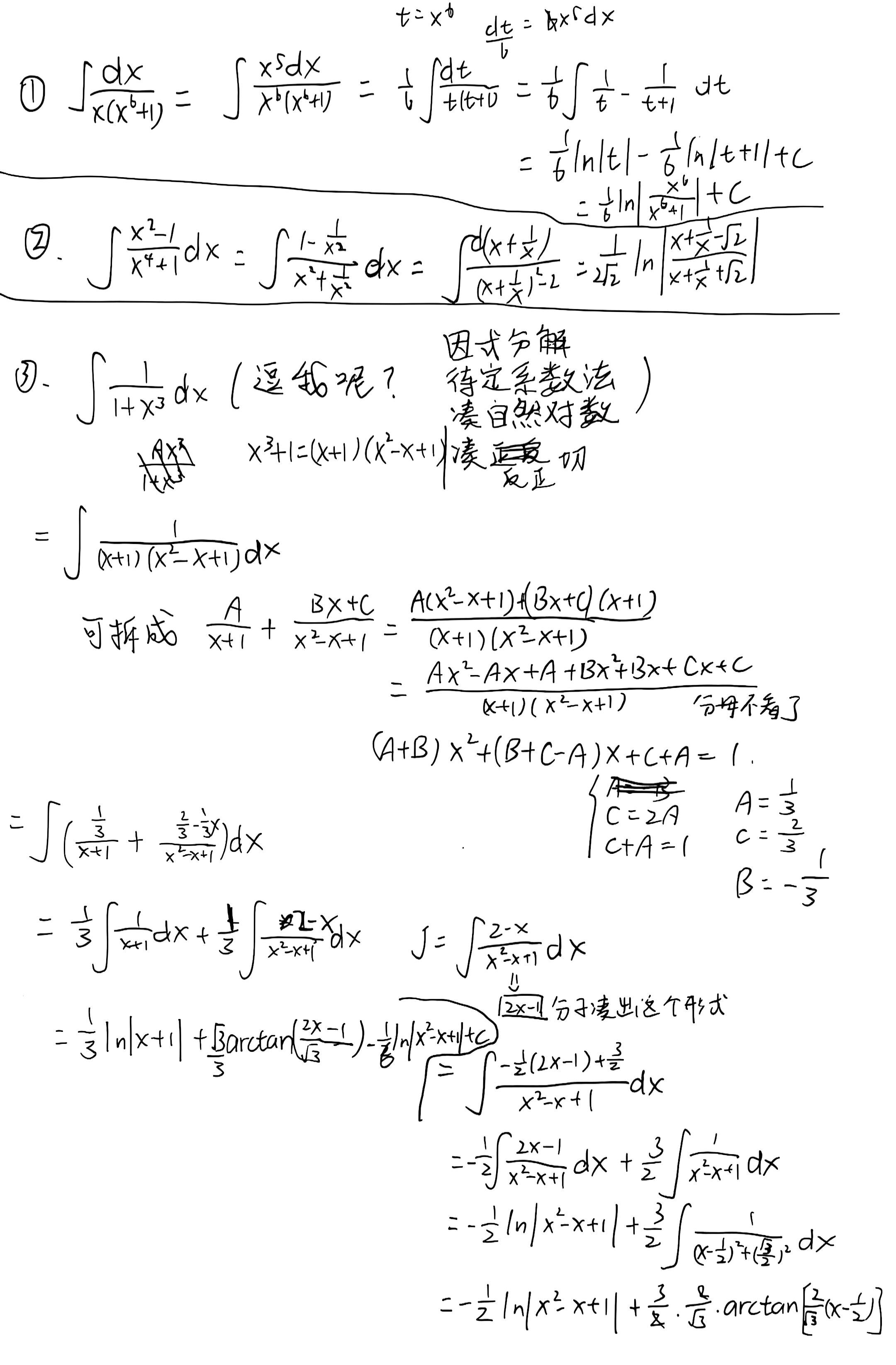
=== 别样的不定积分大赛 ===
>>> 2025-11-25
酣畅淋漓地解积分